• 欢迎访问MACD实战投资网站,推荐使用最新版谷歌Chrome浏览器访问本网站,关注公众号 丁火甲木庚金 www.macd11.com/subscriptions
MI50 32G安装Windows第三方驱动详解!显示为MI60

MI50 32G安装Windows第三方驱动详解!显示为MI60

PS:最近AMD的老计算卡mi50的32G版本挺火,我也买了两张玩了一段时间。不同于其他教程安装的官网驱动,我选择安装AMD的第三方驱动。 官网驱动无论是Radeon Ⅶ还是Radeon Pro Ⅶ均已停更,而AMD第三方驱动仍在更新,最新版本是25年3月。 网址:https://www.rdn-id.com/ 进了网站下拉,选这个。 然后页面跳转,等……

(笔记)TensorFlow实现非线性回归

(笔记)TensorFlow实现非线性回归

TF学习笔记,纪录一下,实现代码如下: import tensorflow as tf import numpy as np import matplotlib.pyplot as plt #使用numpy生成200个随机点 x_data = np.linspace(-0.5,0.5,200)[:,np.newaxis] noise = np.random……

Tensorflow之MNIST数据集学习

Tensorflow之MNIST数据集学习

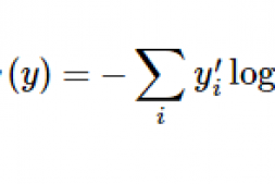
MNIST数据集是手写数字0~9的数据集,一般被用作机器学习领域的测试。 本程序先导入数据,再利用最小梯度法进行训练使得样本交叉熵最小,最后给出训练之后程序的准确率。 交叉熵的定义: y 是我们预测的概率分布, y’ 是实际的分布。 该指标用来衡量学习结果与实际情况的差距。 import……

在TensorFlow里训练神经网络识别MNIST数据

在TensorFlow里训练神经网络识别MNIST数据

代码可在https://github.com/TimeIvyace/MNIST–TensorFlow.git中下载,程序名为train.py。 以下代码实现了使用TensorFlow搭建神经网络解决MNIST手写体数字识别问题,此神经网络使用了激活函数去线性化,本身为三层全连接结构,带有指数衰减的学习率以及L2正则化损失函数,同时使用滑动平均模型……

深度学习主流框架点评

深度学习主流框架点评

目前常见的深度学习框架有 TensorFlow 、Caffe、Theano、Keras、PyTorch、MXNet等。这些深度学习框架被应用于计算机视觉、语音识别、自然语言处理与生物信息学等领域,并获取了极好的效果。下面将主要介绍当前深度学习领域影响力比较大的几个框架,内容出自书籍《深度学习框架PyTorch:入门与实践》。 Theano Theano最初……

机器学习速查表全集(从理论概念到Python库)

机器学习速查表全集(从理论概念到Python库)

选自Github等 机器之心编译参与:蒋思源 机器之心此前曾提供过机器学习和深度学习最好的九张代码速查表,不过近日又有博主发表了一次完全的速查表。虽然有一些和以前是重复的,但还是增加了一些新的速查表。本文前一部分主要重点描述新添加的速查表,后一部分再为读者提供一些以前的速查表资源。这些速查表暂时是保持英文的,因为后……

AI人工智能专业词汇集

AI人工智能专业词汇集

机器之心原创,机器之心编辑部,转自机器之心公众号。 作为最早关注人工智能技术的媒体,机器之心在编译国外技术博客、论文、专家观点等内容上已经积累了超过两年多的经验。期间,从无到有,机器之心的编译团队一直在积累专业词汇。虽然有很多的文章因为专业性我们没能尽善尽美的编译为中文呈现给大家,但我们一直在进步、一直在积累、一直在提……

推荐给初学者的机器学习算法(速查表)

推荐给初学者的机器学习算法(速查表)

选自sas,英文原文:http://blogs.sas.com/content/subconsciousmusings/2017/04/12/machine-learning-algorithm-use/机器之心编译 参与:黄小天、蒋思源、吴攀 本文主要的目标读者是机器学习爱好者或数据科学的初学者,以及对学习和应用机……

GPU和CPU的区别特点

GPU和CPU的区别特点

GPU是替代不了CPU的,同样,CPU也替代不了GPU。如果形象点理解,GPU就像一群蚂蚁,这些蚂蚁都做着同样的事,而CPU就像一只猴子,这只猴子做着各种不同的事。 从根本上说CPU和GPU它们的目的不同,且有不同侧重点,也有着不同的性能特性,在某些工作中CPU执行得更快,另一工作中或许GPU能更好。当你需要对大量数据做同样的事情时,GPU更合适,当你需要……

(原创)机器学习开源框架Mahout配置与入门研究

(原创)机器学习开源框架Mahout配置与入门研究

PS:机器学习这两年特别火,ATB使劲开百万到几百万年薪招美国牛校的机器学习方向博士,作为一个技术控,也得折腾下,就这样来初步折腾下Mahout这个机器学习的主流开源框架。 一、Mahout简介 查了Mahout的中文意思:驭象的人,再看看Mahout的logo,骑在象头上的那个Mahout。机器学习是人工智能的一个分支,它涉及通过一些技术来允许计算机根据之……

GitHub最流行的机器学习开源项目28个:TensorFlow居首

GitHub最流行的机器学习开源项目28个:TensorFlow居首

现在机器学习逐渐成为行业热门,经过20多年的发展,机器学习目前也有了十分广泛的应用,如:数据挖掘、计算机视觉、自然语言处理、生物特征识别、搜索引擎、医学诊断、DNA序列测序、语音和手写识别、战略游戏和机器人等方面。 云栖社区特意翻译整理了目前GitHub上最受欢迎的28款机器学习开源项目,以供开发者参考使用。 1. TensorFlow TensorFl……